楼主: ahwgb

请教汪兴吾先生,越荫堂在何处,辈字有‘本承彦得鸣吗’

[复制链接]

215

主题

5524

回帖

13万

积分

天使

九华汪长富 佛国汪谱迷

积分
131287
发表于 2011-3-24 12:05:07 | 显示全部楼层

回 25楼(龙眠久子) 的帖子

久玲本家:您好!您辛苦了!
        您发在23楼、24楼的资料,与21楼的资料图片明显不是同一个支派的。您21楼的资料应该不止四张的吧,能否请您将其前、后相衔接的剩余资料再发几张图片上来?谢谢!

143

主题

2387

回帖

5万

积分

天使

积分
51416
QQ
发表于 2011-3-27 12:23:50 | 显示全部楼层
回复及修改。
b1.jpg
b2.jpg
b3.jpg
b4.jpg
b5.jpg
b6.jpg
b7.jpg
b8.jpg
天生我才必有用

143

主题

2387

回帖

5万

积分

天使

积分
51416
QQ
发表于 2011-3-27 12:27:44 | 显示全部楼层
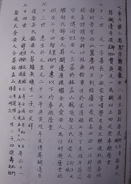
汪原渠世系
b9.jpg
b10.jpg
b11.jpg
b12.jpg
天生我才必有用

143

主题

2387

回帖

5万

积分

天使

积分
51416
QQ
发表于 2011-3-27 12:33:38 | 显示全部楼层
该谱按本支手抄本编印,但统谱有云是景瑞公之后,所以辑录存疑待考。统谱相对来说,支系繁多,因历史原因造成的错接现象比较严重,只能作参考使用。
我更看重各支谱的可信度。
天生我才必有用

215

主题

5524

回帖

13万

积分

天使

九华汪长富 佛国汪谱迷

积分
131287
发表于 2011-3-27 16:24:38 | 显示全部楼层

回 33楼(龙眠久子) 的帖子

        久玲本家辛苦了,谢谢您收集的资料并提供帮助!  请问:您发在21楼的那份世系简表是怎么回事?   
        您今天所发的资料与23、24楼您抄录的资料相同,您能否将今天发的这份资料再往前追发十代世系吗?若能如愿就差不多了。

143

主题

2387

回帖

5万

积分

天使

积分
51416
QQ
发表于 2011-3-27 18:44:23 | 显示全部楼层
61世河公之前,当然是道安、源、惠、世杰、玑的后代。

前面是我摘录的。该支自63世文饶公之后,在通宗及其他谱上没有找到记载。
天生我才必有用

143

主题

2387

回帖

5万

积分

天使

积分
51416
QQ
发表于 2011-3-27 19:01:16 | 显示全部楼层
一个谱,两种支始来源版本,值得研讨。
a1.jpg
天生我才必有用

151

主题

3512

回帖

10万

积分

天使

“参天之树,必有其根;怀山之水

积分
106455
发表于 2011-4-11 22:09:02 | 显示全部楼层

回 楼主(ahwgb) 的帖子

根据《越荫堂家谱》记载:"爽公四传而至景瑞公迁祁门又七传而至雅公迁井亭又再传而至明公迁黄陂又五传而至令佑公迁东宫又十一传而至保公迁田西汪村又七传而至元一公为越荫堂之始祖也"
树有根,水有源,人有祖。

143

主题

2387

回帖

5万

积分

天使

积分
51416
QQ
发表于 2011-4-18 13:51:58 | 显示全部楼层
民国汪原渠的《越荫堂支谱》认为是源公之后。
天生我才必有用

0

主题

8

回帖

297

积分

侠客

积分
297
发表于 2012-11-6 21:48:20 | 显示全部楼层
您需要登录后才可以回帖 登录 | 立即注册

本版积分规则

QQ| Archiver|手机版|小黑屋| 汪氏宗亲网

Copyright © 2001-2013 Comsenz Inc.   All Rights Reserved.

Powered by Discuz! X3.5( 皖ICP备2025101776号-1 )

快速回复 返回顶部 返回列表

 34100202000237