楼主: ahwgb

请教汪兴吾先生,越荫堂在何处,辈字有‘本承彦得鸣吗’

[复制链接]

145

主题

1764

回帖

5万

积分

新手上路

颍川侯95世孙,44世祖越国公汪华

积分
57195
QQ
发表于 2011-3-21 13:01:42 | 显示全部楼层

回 楼主(ahwgb) 的帖子

看看
汪氏子孙,心心相连。

143

主题

2387

回帖

5万

积分

天使

积分
51416
QQ
发表于 2011-3-21 16:27:22 | 显示全部楼层
楼主就是这支的。
a1.jpg
a2.jpg
a3.jpg
a4.jpg
a5.jpg
天生我才必有用

215

主题

5524

回帖

13万

积分

天使

九华汪长富 佛国汪谱迷

积分
131287
发表于 2011-3-21 20:00:12 | 显示全部楼层
         “越荫堂”系48世景瑞公、57世宗明公、62世令祐公、72世公之后,86世似园公因经商由徽州迁往苏州的分派《通宗世谱》至73世公迁“田西汪村”即止,还请久玲本家续发一张世系表,以期与分支16世元一公起派相衔接。  

         此支派文应是:廷道文时汝,本承彦得鸣,原贤于允敏,懋俊守恒成,礼义传家裕,诗书受泽长,思荣联辅佐,美盛纪忠良。

通宗世谱 26 - 51

通宗世谱 26 - 51

通宗世谱 26 - 52

通宗世谱 26 - 52

143

主题

2387

回帖

5万

积分

天使

积分
51416
QQ
发表于 2011-3-21 22:26:32 | 显示全部楼层
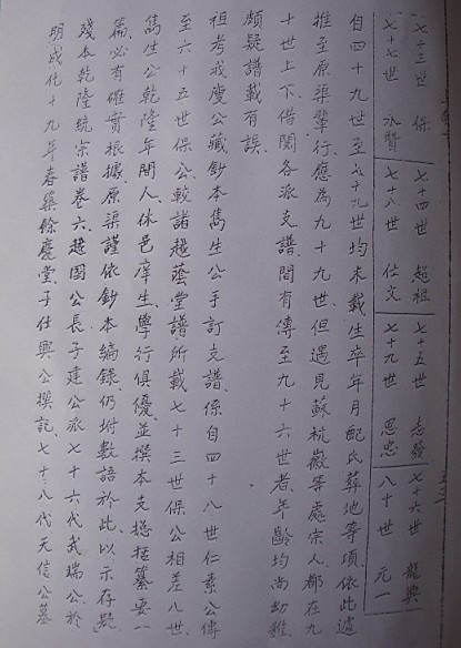
这支世系还有些复杂。居住地是休宁县四都。

71世,思忠,字朝进,号六八,居士。葬新塘尾,即冬青树下。娶吴氏,葬闗
边屋后,坤山艮向,赘吴元一为嗣,以上四代崇奉越荫堂。
72世,元一,字善长。子二,智(里门支祖)、惠。
73世,惠,子一,天祥。
74世,天祥,子二,进寿(外门支祖)、庆寿(中门支祖)。
75世,进寿,字五福,号如松。子一,仁闗。
76世,仁闗,字德仪,号全伦。子五,德润、税源、兆原、高原、荣华。
77世,德润,字孟昂。子二,云真、云清。
78世,云清,字邦宁,号诚斋。子七,日升、日晨、日旵、日昱、日晟、日旦、日昶。
79世,日旵,字子曜,号松峰,又号六桥。子一,世祯。
80世,世祯,字绍松。子五,廷谟、廷试、廷谐、廷谕、廷许。
81世,廷谕,字君晓。子二,道友、道本。
82世,道友,字于成。子二,文旭、文武。
83世,文旭,字德升。子四,时钟、时钦、时鋐、时録。
84世,时録,字上闻,号浚圆,监生。子六,汝淑、汝沂、基、汝淇、汝澜、汝汲。
85世,基,原名汝洪,字安涛。子二,本秩、本穆。
86世,本秩,字寅清,号荫青,一字似圆。子九,承炘、承爔、承煟、承灯、云栋(承烺)、承焜、承照、承奎、承恩。
87世,云栋,字芝生,岁贡生,就职训导,以曾孙鸣銮官诰赠光禄大夫。子四,彦寀、彦庆、彦容、彦安。
88世,彦安,字吟行,附贡生。子二,得份、维亿。
89世,得份,字穉筼,子二,鸣锵、鸣钧。
90世,鸣钧,字介石,国学生,五品衔江苏候补主簿。子一,原渠。
91世,原渠,字伯轩。生于清光绪八年八月二十七日辰时。子五,贤隽、贤牧(字经田)、贤同(字百里)、贤朗(字玉山)、贤曾(字益州)。
92世,贤隽,字进之。娶管氏,吴县管君谟先生名尚勋之长女。子,于莱。
93世,于莱,字东莱。
天生我才必有用

143

主题

2387

回帖

5万

积分

天使

积分
51416
QQ
发表于 2011-3-21 22:39:40 | 显示全部楼层
61世,河,原名淑,字如川,迁休城南,葬下汶溪。子五,承沾、承汲、承俸、允、盛。
62世,承沾。子三,希宥、希进、文饶。
63世,文饶。子二,森、桂。
64世,桂,字秋馥。子三,福、禄、保。
65世,保,字延寿,迁休东四都西山汪村,葬三都朱充山。子一,超祖。
66世,超祖,名一。子,志发。
67世,志发,名三。子二,云兴、龙兴。以上三代供奉世瑞堂。
68世,龙兴,又名龚,讳五分,居汪村。子三,永哲、永贤、永胜。
69世,永贤,讳四,号永吾。子三,仕文、仕晋、百一。
70世,仕文,讳三。子一,思忠。
天生我才必有用

143

主题

2387

回帖

5万

积分

天使

积分
51416
QQ
发表于 2011-3-21 22:48:29 | 显示全部楼层
残本乾隆统宗谱卷三,越国公至五十二世图内,仁素公子凤思公及仁恭公子景瑞公下,均注图见四十二卷字样,倘获此卷以之对勘,一切疑问庶可冰释。丁丑春三月原渠谨识。
天生我才必有用

12

主题

60

回帖

1994

积分

认证会员

积分
1994
 楼主| 发表于 2011-3-22 08:29:16 | 显示全部楼层
感谢九华星云,龙眠久子及诸位宗亲帮我寻到根

1

主题

1

回帖

46

积分

新手上路

积分
46
发表于 2011-3-22 10:13:33 | 显示全部楼层
请问九华星云先生:你现有的族谱上可能查到汪本昇(大約是道光12年前去世的,呈經是國子監生),族譜上應當有記錄。麻煩您,請代為查找,謝謝!

12

主题

60

回帖

1994

积分

认证会员

积分
1994
 楼主| 发表于 2011-3-22 11:17:07 | 显示全部楼层
认证会员豋记表如何取得并填写,请指教

151

主题

3512

回帖

10万

积分

天使

“参天之树,必有其根;怀山之水

积分
106455
发表于 2011-3-22 12:02:05 | 显示全部楼层

回 28楼(ahwgb) 的帖子

《汪华文化研究会》入会申请表填写通知

《汪华文化研究会》现已收到部分本家入会申请表,请自愿加入但还未填写《汪华文化研究会申请表》的本家及热心汪华文化研究的友好人士尽快填写入会申请表(特别是理事以上的会员),发送至汪华文化研究会专用邮箱hsswhwhyjh@163.com

相关贴:
汪华文化研究会章程(讨论稿)(附件:会员申请表)
http://www.iwangshi.com/bbs/read.php?tid=14182&keyword=

空表下载:
汪华文化研究会入会申请表(空白表--正式).rar??

友情提示:
为了个人资料信息安全,请不要将《入会申请表》直接发到家网论坛上,填写后发送至汪华文化研究会专用邮箱hsswhwhyjh@163.com
树有根,水有源,人有祖。
您需要登录后才可以回帖 登录 | 立即注册

本版积分规则

QQ| Archiver|手机版|小黑屋| 汪氏宗亲网

Copyright © 2001-2013 Comsenz Inc.   All Rights Reserved.

Powered by Discuz! X3.5( 皖ICP备2025101776号-1 )

快速回复 返回顶部 返回列表

 34100202000237