查看: 17491|回复: 16

关于各支重新统一核准建公派唐模十六族48世-59世馗公生卒的建议!

[复制链接]

32

主题

512

回帖

5016

积分

认证会员

明清歙县籍汪氏进士录

积分
5016
发表于 2013-11-26 09:10:03 | 显示全部楼层 |阅读模式
各位宗亲
    近来我经过调査,发现唐模十六族48世-60世诸公生卒的年份並不统一,有的甚至是儿子比父亲先出生,如汪氏西溪的 叙天伦乐 就出现这种情况,59世馗公生乾宁乙卯895年,歿广顺辛亥951年,享年57岁。60世德暹公生光启丙午886年,殁清泰乙未935年,享年50岁。以上例子是极为明显的错误。先人修谱为什么会出现这样的差错?应归咎于当初民间沒应用公元纪年,沒有纪元的工具书供他们查实,加上又是考证 五代时期 古人的事情,那时兵荒马乱,年代久远,资料的来源本身就可能有问题。所以说,发生这样的事並不奇怪。只是当今,拥有优越的条件,我们再也不能知错不改,继续以讹传讹,来误导后世子孙了。应参照各支族谱的记载,共同研究探讨出一个比较合乎实际的生卒年份,重新列入各支族谱,还祖宗一个清白。我认为很有必要!

汪氏越国建公研究会群

26

主题

319

回帖

7313

积分

认证会员

维木有本,维水有源,人之本源,实维祖先;念我汪氏,徽歙婺源。

积分
7313
QQ
发表于 2013-12-14 14:17:51 | 显示全部楼层
让我们共同研究探讨出一个比较合乎实际的生卒年份,重新列入各支族谱,还祖宗一个清白。我认为很有必要!

166

主题

1890

回帖

230万

积分

版主

灌河流域汪氏宗亲会创会秘书长,手机:15961332733

积分
2306618
QQ
发表于 2013-12-30 09:27:26 | 显示全部楼层
45世:建公,字子尚,字子尚。唐郎州都督府法曹,杞王府咨议,袭父爵为上柱国。青海谱序、磻溪谱、淮南谱载,隋文帝仁寿三年癸亥(603)正月十五日巳时生,唐高宗永淳元年壬午(682)二月十七日子时卒,寿八十岁。娶黄氏,继娶萧氏,生子六 ── 处修、处约、处政、处冲、处讷、处俌。合葬岐州岐山县,东北凤凰堆后。宋追封建公为忠惠侯,历封崇德衍广佑王,追封黄氏为昭顺协灵夫人。

166

主题

1890

回帖

230万

积分

版主

灌河流域汪氏宗亲会创会秘书长,手机:15961332733

积分
2306618
QQ
发表于 2013-12-30 09:29:41 | 显示全部楼层
46世 处修公,字以祖,又字以敬,士德,建公长子。约生于622年。唐扬州长史、福惠侯。居登源,好学善文,尤长于诗卜,筮以祖荫,初任荆湖制置司幕宰,授临溜县令,以惠爱闻名,擢杨州别驾,催科有法(按科条法律收租税)民甚便之,有司请著为令甲,奉旨定以为格。娶程氏。合葬云岚山,祖莹之东,宋封侯,生一子;鼎。
       处约公 建公次子。
       处正公 建公三子。字士范。子:昺。
       处冲公 建公四子。字士高。子二:昇、晃。
       处讷公 建公五子。字士仁。
       处俌公 建公六子。字士辅。为凤阁舍人。与兄士修居故里登源之丘。

47世  鼎 公 处修公子。唐员外郎,监察御史。约生于652年。字国用(或曰“字震卿”)幼负神明,弱冠立朝,不避强御,唐中宗(684、705-709年在位)时为殿中侍御史,人惮畏之。配郑氏,享年六十四岁,合葬云岚山。子二:世美(怀谱作“美”)、世纯(怀谱作“纯”)。

48世 世美公 鼎公长子。字象贤。约生于670年,幼聪敏,形神秀发。唐太宗(按似为唐玄宗712~756)时,举进士第,为河北节度使颜真卿从事。真卿曰:“从事神明之胄,后必富贵。”嫁之以女。迁主客司员外郎,知制诰翰林学士。子三:。璹(shu)(迁祁门赤山,子二:福、德)、珏(迁歙北汪家叚,子三:伟绩、继绩、功绩)、珏、琦
世纯公 鼎公次子。、

49世 璹 公 世美公长子。
     珏 公 世美公次子
      琦 公 世美公三子。字伯玉。人敦厚,美丰仪,善属文。唐进士,御史大夫,礼部侍郎,集贤院待制。约生于695年。迁居歙邑寺揭汪村,配冯妣。卒葬歙平辽乡寺堨(e)住畔。二子:凝绩、丕绩。(唐德宗贞元八年,旧谱作“唐贞观元年”,误。凝绩、丕绩,旧谱作“续、绩”。此并据扬州谱改。)

50世  凝绩公 琦公长子。字巨公。性宽大,貌端严,文学出于天资。试礼部,举进士第,为掌书记、知制诰。三世俱在词苑,时人美之,约生于714年,享年七十四岁,配休宁篁墩程氏。卒葬汪村居第后。子:质。(按:凝绩公,旧谱作“凝续公”,此据扬州谱改。)
        丕绩公 琦公次子。(按:丕绩公,怀谱作“凝绩公”,误。)

51世  质 公 凝绩公子。字纯甫。约生于732年。时有苏寇方清等陷歙,(据《新唐书•刘晏传》第15册页4798,“上元、宝应间,如袁晁、方清、许钦等乱江淮,十余年乃定。”则方清造反事在唐肃宗至代宗时,公元760-763年)因避居旌德新建。葬旌德后杨坦。子一:融。



52世  融 公  质公之子,字昭德,约生于750年。同父迁居旌德新建。妣黄氏,生子三 ── 秀山、巨山(子三:亢、刚、恒)、麗山(子一:秦)。

53世  秀山公 融公长子,字子云。约生于768年。酷意教子,辛勤起家。以祖宗之墓存于歙,岁省松彬,老而不辍,寿七十五。妣方氏,寿六十四。子三:震、焕(扬州谱作“涣”)、太(扬州谱作“泰”)。居新建。      
     巨山公 融公次子。约生于785年。自51世质公避居新建,至是,复还绩溪登源故居。子三:亢(一作“元”)、刚、恒。
     麗山公 融公三子。约生于795年。

54世  震 公 秀山公长子,约生于786年,笃学力行,尝领乡举,不偶,隐居自善,以德见称。因省祖墓至歙,念桑梓之邦,不忍尽去,乃命次子思立赘于歙县唐模。妣冯氏,子二 ——思言、思立。居建德。字子春。著《岐黄标本论》、《释氏字说》。
        焕 公 秀山公次子。(按:焕,扬州谱作“涣”。)
        太 公 秀山公三子。(按:太,扬州谱作“泰”。)

55世 思立公,字学礼,行十二。生于贞元甲申(804),卒于光启乙巳(885),自旌德之新建来赘於歙之唐模。时值唐季天下纷乱,公勤营生业,理家葺垒,以为保安计。岁时归谒益敦族义,乡党称之。享年八十二卒,合葬灵山麓。生一子:义诚。


55世  思清公,巨山公孙、亢公子。字希美,行十三。迁休宁万岁山下,复徙西乡汪坞。配吴妣,合葬汪坞东山围。子三:希宁、顺宁、远宁。(按:据《一统志》,万岁山,在休宁县东七里,宋徽宗宣和年间改名为万安山。)


55世思聪公,秦公之子。始自旌德新建迁于绩邑北乡坦头,时值五季之衰,天下纷扰,公勤营生,恭理家葺垒,为保安计。岁时归谒,益敦族谊,乡党称为哲人。约生于892年左右,享年七十,葬凤凰村,娶胡氏,生子三:元一、元二、元三。
宋嘉佑至绍兴间(1056—1162),出现了“一门三代七进士”,即五十八代的汪汲与汪淇,五十九代的汪奕与汪襄,六十代的汪安世、汪安仁、汪安行,他们皆传为廉洁官员。

166

主题

1890

回帖

230万

积分

版主

灌河流域汪氏宗亲会创会秘书长,手机:15961332733

积分
2306618
QQ
发表于 2013-12-30 09:31:26 | 显示全部楼层
56世 诚公,字义诚。生太和丁未(827),歿大顺庚戌(890)。约生于854年。当扰乱之时能守父业,勤督耕稼,自晦以图保全智士也,时太尉杨桁(héng)密据本境,增赋税以充军费,民苦之。公倡郡人陈乞宽免,桁密谕候军务宁静然后如请。未几,陶雅镇歙公,欲申前请未果而卒,郡人感惜之。娶吴氏,生一子曰宪。合葬古塘。(居建德。配吴妣。生子一  宪  葬古塘岭。)
57世 宪公,字世纲。生大中乙巳(849),殁开平庚午(910)。约生于872年。有才略隐居不仕途,惟以耕读训子为趣。娶程氏生一子曰廷臣(一说为建臣),卒后合葬唐模后山孙家运里。
58世 廷臣公,字良佐。生咸通己丒(869),歿贞明庚辰(920)。约生于890年。厚积财产,能赈贷而不吝,乡里感之。娶程氏合葬唐模辽山,生一子曰奕,后为石岗支派。妣吴氏。生子二  逵  奕  合葬唐辽山。
59世 馗(或为逵)公,字道开。好学有经济之才。值五代纷乱(907——960),民无宁日,遂隐居不仕,以诗书课子孙,享逸老之乐。享年六十七岁,娶俞十二娘,享年六十八岁,合葬古塘山,生三子德昇、德昌、德暹。

59世奕公,廷臣公次子。生一子德亮。

166

主题

1890

回帖

230万

积分

版主

灌河流域汪氏宗亲会创会秘书长,手机:15961332733

积分
2306618
QQ
发表于 2013-12-30 09:32:13 | 显示全部楼层
60世德昇公 馗长子。约生于908年。以孝弟闻于南唐(937~974)之朝,累征不就。尝叹曰:“世道裂矣,正贤者括囊之时。”遂课子以诗书为终老计。子五:仁审、仁本、仁璠、仁美、仁珣。

60世德昌公,字六顺。生于梁乾化癸酉年911年。以清介自持,擅天文推步之术,今之世政苛民贫世乱及炙,谓其兄德升曰:今之时君当夫闺数,吾以易卜之,不出二十年矣,必有真主出。后宋太宗果符其言。卒葬茶塘山,歙西三里,亥山丁向。娶俞九娘,生六子:仁播、仁翊、仁忻、仁恂、仁海、仁荣。

60世德暹公,字伯达,号本裕,生于梁乾化癸酉年(913)。馗公三子;别居唐模运里,性刚果质直,光明方正,乡闾重之,五季(五代末年)天下大乱,婺州盗贼窃发。公慷慨捐资,供乡人构兵仗防御,人赖以安,爱敬奉二兄嫂,娶鲍氏,乃鲍潭进士女,通书字,治家有德,懿行。卒葬社屋界塘,孺人葬朅田苦竹岭,马饮泉。生三子;仁高、仁侃、仁悦。(通宗谱载仁雅)

61世仁忻公,字庆父,约生于935年。明敏好学以儒术终身。幼失怙(hù)与叔父同居,家口虽众,庭无异言。一日叔父令仁忻掌家务,遂於椆墅开库以为生计者,以义制利以行之,以宽人多归之,渐以致富。因得其山水之胜遂定居焉。娶叶氏合葬小溪癸山丁向。生子一:延皓。

61世;公名仁高,字仰之,号士远,生于后唐长兴辛卯年(931)。德暹公长子。奉亲至孝,卜地葬母,至乌聊山,一老人指一阜曰;前溪有青龙石砖,深鱼聚,举纲可获数百,此地可葬,复指一掘地曰;冬季鱼鳖所集此,大吉穴也,言讫不见,心异之。凡契约买其地,以母葬其所,前向黄罗,金紫,天马之山后,术者遇之,称大好吉壤,后必大昌。远近闻之。皆曰孝感云。娶王充洪氏,卒合葬滚潇乡白鹤衔书形。生三子;延芳,延璋,延谅。

61世仁侃后;承霸迁黟泉山岭,承奉迁休竹林。

62世延皓公,行九。约生于970年。承家殷富,乐善好施,有逋(bū)欠而不赏者,即焚其券。誉诵翕然。娶程氏六娘合葬,续室张氏葬丰源扶里,生三子承满、承清、承戬。

62世公名延芳,字世荣,号文振,仁高公长子,生于后汉乾祐戊申年(948)。善作产业,治生不坠,先绪平居,家政综理甚密,延名师训迪,诸子皆彬彬有度,多自克树立。娶王氏生三子;承吉,承德,承可。卒合葬西田,犬眠形,继娶琶村郑氏生三子;承绪,承信,承戬。卒葬通德乡铜山小儿充。

63世承满公,行六。约生于995年。敦厚笃实,才有可称,而乐道自适不以利禄为新,以宽恕待人,於世味淡薄,乡称长者。卒葬灵山黄家坞,娶程氏葬西田,生三子聪、忠、宁。

63世;公名承吉,字从善,又字继祥,居唐模,延芳公长子,生于宋开宝己巳(969)。面方耳大,髯虬齿素,音如洪钟。隐居耕稼,读书不辍,平生问问不苟,性更和缓,有犯不与之较,人钦之,卒葬仇村(滚潇乡,仇冲坦头)娶鲍氏卒葬罗田下垢(武山)。生二子;士明,士翰。

64世聪公,约生于1020年。敏达好学,恭己爱人,宗党称之。常聚昆弟子侄谓之曰“汝等蒙祖宗之泽,无饥寒之忧,岂(上山下豆)可以不读书立身乎。祗道以孝悌忠信勤俭为本,孝悌可以兴仁,勤俭可以起家,忠信可以待物,谨此三者,庶乎无添前人而又不失儒者之行矣”。由是一门之内以清修著节,声誉日起。卒葬叶村,娶吴氏葬十二都,续庄氏生三子源、淑、润。

64世;公名士明,字伯道,又字文亮,生于宋至道丁酉年(997),承吉公长子,居唐模。性孝悌,好读书,娶孺人澄塘吴孝廉之女,卒合葬九家塘,螃蟹夜游形,生三子;震,霓,需。

65世源公,字水本。约生于1045年。娶吴氏合葬洪坑。生二子曰积、秸(jiē)。淑公后迁唐模,为中汪。

65世;公名霓,约生于1040年,士明公次子,居唐模,性和缓少言,仁慈,好善,乐施,捐资千金建山泉寺。大雄宝殿左僧舍佛像居然完备。又建越国公祠于寺右,以奉祀事,以孙若容,若思推恩赠丞值郎,长子叔度太学生。娶孺人胡氏,卒合葬罗田。生五子;叔才,叔恭,叔玉,叔古,叔敖。

66世叔敖,字子游,金紫始祖,生于北宋元佑元年(1086),卒于南宋建炎四年(1130),宋徽宗政和七年丁酉1117年自唐模迁居潜口下市,以子贵赠金紫光禄大夫。配夫人洪氏,生子四若容 若泉 若虚 若思。

67世若虚,字实夫,号槐堂,叔敖第三子,昆弟他迁,独守不移,有三子沆 淙 淮。淙迁丛睦,淮迁信行,都在徽州区。

166

主题

1890

回帖

230万

积分

版主

灌河流域汪氏宗亲会创会秘书长,手机:15961332733

积分
2306618
QQ
发表于 2013-12-30 09:33:11 | 显示全部楼层
66世 秸公,行九。约生于1076年。宽和有度,家素饶裕,乐善好施,远近敬仰之。卒葬歙南大佛,娶吴氏卒葬湿坑。生一子友成。

67世友成公,行五。生于重和戊戌1117年,卒于熙甲寅年1194年。性明敏读史多识,善交朋友,乡人为善者其褒奖之,冥顽者训导之,乡人尊之长者。对各处荒落的坟地广植竹木,并筑屋找族人居住,看管林地,两得其利。年七十七卒,葬叶村。娶吴氏十二娘,无子,抚养义子大忻,卒葬金岭。续室许氏生二子大作、大猷,卒葬小溪。

68世大忻公,字明叟,行十四,友成(老谱是这样记载的,可能有笔误)公之抚子也。性明敏,好读书,明礼仪。以孝敬事亲,以忠信待物,不尚文饰而有务实功,自号养拙居士。卒葬蜀源北上,坤山寅向。娶二娘葬西田,兑山卯向,生四子言恭、言忠、言盛、言礼。

68世大作公,字元叟,行十六,生绍兴辛未(1151)十五辰时殺嘉定甲戌(1215)。友成公嫡子。幼聪颖,长,通六籍,入郡为掌书。承蒙家产富厚,税百八十缗。六十四卒,葬凤凰龙尾坞,艮山庚向,后改西向。娶许氏,生绍兴壬戌没嘉定癸酉年七十二卒,葬南宫山,今名鱼梁头,子山午向。生三子浤、潚、梦祥。

68世大猷公,字申叟,友成公之三子,自幼颖茂,常从兄授学,能明礼仪之孝悌之道。及长,经历家政事业有成。六十九卒,娶程氏,夫妇偕老,卒葬西关车轮湾,庚山申向。生二子洋、海。

69世潚公字德润,约生于1175年。字德润。行二七大公次子少壮以子嗣艰育为优遂奉父命分居大里及抱养弟梦祥第六子应端为嗣而大里支派之繁衍实自此基之卒嘉定丁丑春正月有六日于时继子方六岁二女奉公柩葬本都张坑坤申山寅甲向娶程氏卒庆元戊午葬大佛小干亥山巳向续娶绩溪县胡氏卒嘉定丙子葬所居之右畔亥山丁向子 应端

70世应端公字正卿,约生于1215年。行念七号奎野潚公嗣子本梦祥公第六子嘉定壬申八月六号丑时生始生时祖父大作公命潚公抱养为子年三岁丧祖父四岁丧所生父五岁六岁丧母及父伶仃孤苦中复有萧墙之祸致讼公庭累矣赖造物扶持自能成立以大其家殺至元丙子六月四号亥时享年六十有五葬本里八亩坪上巽山亥向娶环山方氏敬老慈幼内助成家生乙亥十二月十二号巳时殺乙卯享年八十有九葬本里黄柏充口丙山亥向子 象先

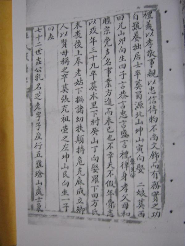
71世象先公,约生于1243年。幼名嘉寿,字似之。行仲五应端公子,幼承庭训以礼律身孝父母睦宗  身名事业方进而未已也不幸天不假年赉志以殺生嘉熙戊戌殺至元丙子历年三十有九葬本里下村癸山丁向娶罗下田方氏夫丧后上奉老姑下抚诸幼颠持危克底成立乡人以贤母称之享年六十有四葬张坑祖茔之左丑山艮向子 垚



72世垚公,约生于1275年。乳名芝老,字子厚。行晋五号碧山处士象先公之子,年十七丧父时值丙子兵乱后家事不振公奋志卓立维持家业支应户役中年后又得其子成立资产倍进富冠一乡尝于所居之前创建亭榭整敕屋室置几席茶灶琴书棋局于其中两旁辟池种莳芰荷以为宴宾闲仕之所前有三山堂户青碧交映中植丹桂于庭因拟王晋公故事以从桂匾其堂冀子孙有以师其德而永其传也又善相地利捐资开辟沙园地五十余里其为沃壤其遇歉岁则设糜以济饥馁作家规垂戒后人其略云祀先以敬为主持家以勤为先礼待亲朋和睦邻里常持中道毋或乘违至于日用秤斗皆当两平佃作田亩视其肥瘠定立租数计其所入量其所出谨身守分无取怨于无贻辱于先吾之愿望也间尝游熏  见其山川回抱遂自营宅兆乃于墓前筑室号曰全归晚年好养生之术又号澄心悟道其胸中洞达不滞于物可知矣平生好读书善题咏所作有碧山吟藁藏于家生景定庚申五月十七号卯时殁至顺壬申二月十三号未时易箦之际神思不乱援笔书口号云(不须斋不须醮也莫啼也莫笑亲朋邻里送归山,便是人间妙妙妙娶莲墅方氏名恭家室悠宜表里相应以成家业生戊午八月十六号巳时殁已巳十一月十九号申时享年七十有二仝公墓丑山未向子 贞保)

73世贞保公字以元,约生于1305年。娶郑氏生有5子:福谦,益谦,垦都,忻都,唆都

74世唆都公惟慎,约生于1340年,生有5子:雷童,僖,儒,仪,信

75世儒公,字士宁,行义士。生于明洪武元年十二月二十号卯时(1368),卒于宣德戊申十月五号丑时(1417)享年六十有一,生子五:雷童、禧、儒、仪、信。

166

主题

1890

回帖

230万

积分

版主

灌河流域汪氏宗亲会创会秘书长,手机:15961332733

积分
2306618
QQ
发表于 2013-12-30 09:34:53 | 显示全部楼层
参考资料:

歙西堨田汪氏家谱 ——  兰州大学汪受宽教授。
歙县和义堂汪氏族谱——汪育真(徽州文化传承人之一)
1926年淮安汪氏族谱
磻溪汪氏宗谱
淮南汪氏族谱
青海汪氏谱序

26

主题

319

回帖

7313

积分

认证会员

维木有本,维水有源,人之本源,实维祖先;念我汪氏,徽歙婺源。

积分
7313
QQ
发表于 2013-12-30 09:57:15 | 显示全部楼层

回 7楼(汪子涵) 的帖子

子涵本家,七十二世祖名讳是尧公还是垚公?

26

主题

319

回帖

7313

积分

认证会员

维木有本,维水有源,人之本源,实维祖先;念我汪氏,徽歙婺源。

积分
7313
QQ
发表于 2013-12-30 10:04:49 | 显示全部楼层

回 7楼(汪子涵) 的帖子

清光绪十九年沂南汪氏族谱
94_195079_ba39699bdbb8974.jpg
您需要登录后才可以回帖 登录 | 立即注册

本版积分规则

QQ| Archiver|手机版|小黑屋| 汪氏宗亲网

Copyright © 2001-2013 Comsenz Inc.   All Rights Reserved.

Powered by Discuz! X3.5( 皖ICP备2025101776号-1 )

快速回复 返回顶部 返回列表

 34100202000237