查看: 14676|回复: 18

石市汪氏

[复制链接]

10

主题

8

回帖

643

积分

圣骑士

积分
643
发表于 2012-4-9 18:24:07 | 显示全部楼层 |阅读模式
有谁知道,汪华到汪爽到汪介然到汪彦成,有多少代吗?有那位本家清处,请来电话,15097614207 谢了

74

主题

2592

回帖

7万

积分

版主

淮南洛河汪氏[潜口金紫分支]

积分
78819
QQ
发表于 2012-4-9 18:47:14 | 显示全部楼层
<<谱牒世系>>栏里有.

10

主题

1091

回帖

3万

积分

光明使者

积分
30911
发表于 2012-4-9 19:05:40 | 显示全部楼层
请阅九华星荣本家发的帖

         中华汪氏统宗谱-----爽公支世系(改版 扩编 调整进行中)

191

主题

3290

回帖

9万

积分

版主

崇尚自然 珍爱生命

积分
91974
发表于 2012-4-9 19:31:07 | 显示全部楼层

回 2楼(龙吉) 的帖子

到介然公后就没有资料可查。

191

主题

3290

回帖

9万

积分

版主

崇尚自然 珍爱生命

积分
91974
发表于 2012-4-9 19:39:14 | 显示全部楼层

回 楼主(石市汪孝德) 的帖子

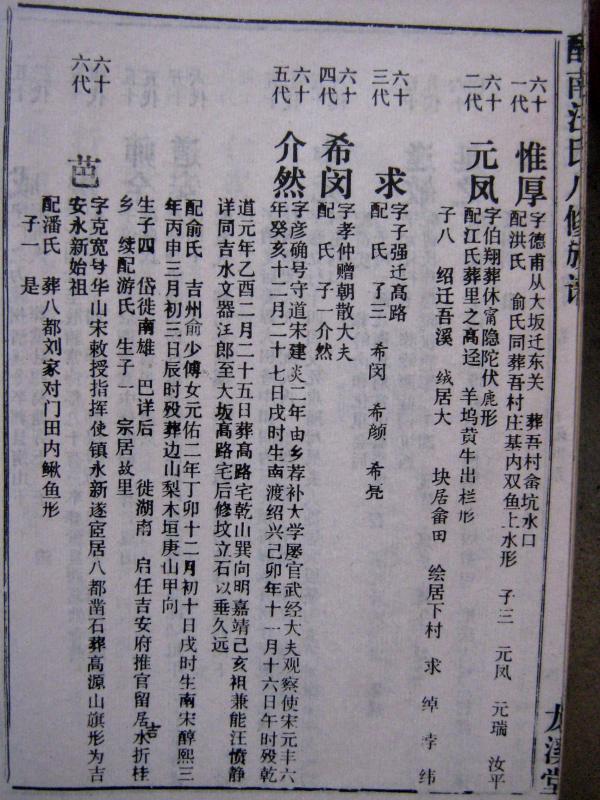
65世 介然

215

主题

5524

回帖

13万

积分

天使

九华汪长富 佛国汪谱迷

积分
131287
发表于 2012-4-9 21:30:01 | 显示全部楼层
[tr][td]
56世
 
57世
 
58世
 
59世
 
60世
 
61世
 
62世
 
63世
 
64世
 
65世
备    注
道安—I—I中元—I敬逢—I延祚—I惟原—I公余—I渐       I  I    I  I  I  I泮       I  I    I  I  I公居               I  I                  I  I惟兴—I马样—I呈德             I                    I延贵—I惟政—I文素—I元进—I明—I一休宁岭头        I    I      I二         I    I文载—I宗益—I周员 I三深渠.永定.汊川         I    I    I周全           I    I    I行全           I    I    I再成              下坦.安丰.京口         I    I    I归堂 I盛         建康.万载.泉州        I    I      I戬绩西园丰         I    I文谅—I开—I豹—I仁麦克.三溪.蓝田        I      I  I獬           I      I    I茂隐陀        I      I汝贤—I志广—I辉福建.震阳        I           沙干.首村.贵溪         I延年—I惟静—I尚—I许廵             I    I                I    I希—I许华    开化        I      I公京—I团           I      I  I圆—I房         I      I  I国           I      I公省    马金汪山        I                    I延之—I惟厚—I
元龙 立子
—I绒—I敦礼—I隆淮.池州.六百丈           I  I    I  I旌桐城.怀宁.潜山           I  I    I              I  I    I敦旦—I字德光           I  I    I  I斾浯村.歙溪.古坑           I  I    I              I  I    I敦诗—I燦湖南衡阳           I  I      I珦黄梅.歙县.泉州          I  I                  I  I元凤—I绍—I存—I仝湖广.城溪          I  I  I  I   六百丈.池州           I  I  I  I仔—I企歙南.吴村.方坑          I  I  I    I弇           I  I  I                I  I  I紻—I万—I通           I  I  I     I逊 六安黄柏.句容           I  I  I                I  I  I绘—I渐—I柽           I  I  I  I潜             I  I  I  I浩—I如璋开化.鲍坑.田坑           I  I  I  I              I  I  I  I洪—I如圭           I  I  I  I  I如玉           I  I  I  I              I  I  I  I滔—I琳           I  I  I    I朝           I  I  I    I幹           I  I  I    I邠           I  I  I     汉阳.武昌.黄冈           I  I  I絿—I希闵—I介然吉安.吉水.永新          I  I  I  I   崇阳.永定           I  I  I  I希颜—I郁           I  I  I  I              I  I  I  I希亮   

19

主题

164

回帖

5813

积分

新手上路

拥有一颗真诚的心,就拥有一轮不

积分
5813
QQ
发表于 2012-4-9 22:40:58 | 显示全部楼层
这是我醴陵族谱
45-52.jpg
53-60.jpg
61-66.jpg
67-75.jpg
心中常有太阳

10

主题

1091

回帖

3万

积分

光明使者

积分
30911
发表于 2012-4-10 08:37:43 | 显示全部楼层
醴陵,石市,洋溪几个地方的谱把介然出生和去逝时间记载为1082-----1159年, <<汪氏通宗世谱>>中所记载的汪介然传和洋溪谱中记载的第七道介然公扎付,都可推算介然公生于1108年 ,殁于1185年,从中元公至元凤公所记载的出生年月相比较,以上几个地方所记载介然公生于1082年是错误的

10

主题

1091

回帖

3万

积分

光明使者

积分
30911
发表于 2012-4-10 08:52:14 | 显示全部楼层
中元公生于公元887年, 殁于944年,
敬逢公约生于公元930年,
延之公生于公元975年,  殁于1023年,
惟厚公生于公元994年, 殁于1069年.
元凤公生于公元1029年, 殁于1089年
球公生于公元1065年. 殁于1139年,
希闵公生于公元1087年, 殁于1113年.
介然公生于公元1108年. 殁于1185年,
岱公生于公元1124年,  殁于1184年

215

主题

5524

回帖

13万

积分

天使

九华汪长富 佛国汪谱迷

积分
131287
发表于 2012-4-14 21:01:15 | 显示全部楼层
56世:道安公,生于公元827年, 殁于863年, 享年37岁。  行一,与上代龄差约18岁。
57世:濆公,    生于公元863年, 殁于894年, 享年32岁。  行二,与上代龄差36岁。
58世:中元公,生于公元887年, 殁于944年, 享年58岁。  行二,与上代龄差24岁。
59世:敬逢公,生于公元约930—932年间,        享年无考。  行四,与上代龄差约44岁。
60世:延之公,生于公元975年, 殁于1055年,享年81岁。  行四,与上代龄差约44岁。
61世:惟厚公,生于公元994年, 殁于1069年,享年76岁。  行一,与上代龄差19岁。
62世:元凤公,生于公元1029年,殁于1089年,享年61岁。 行二,与上代龄差35岁。
63世:絿公,    生于公元1065年,殁于1139年,享年75岁。 行五,与上代龄差36岁。
64世:希闵公,生于公元1087年,殁于1113年,享年27岁。 行一,与上代龄差22岁。
65世:介然公,生于公元1108年,殁于1184年,享年77岁。 行一,与上代龄差21岁。
66世:岱公,    生于公元1124年,殁于1184年,享年61岁。 行一,与上代龄差16岁。
您需要登录后才可以回帖 登录 | 立即注册

本版积分规则

QQ| Archiver|手机版|小黑屋| 汪氏宗亲网

Copyright © 2001-2013 Comsenz Inc.   All Rights Reserved.

Powered by Discuz! X3.5( 皖ICP备2025101776号-1 )

快速回复 返回顶部 返回列表

 34100202000237