楼主: 汪克云

安徽宣城汪氏的家谱

[复制链接]

6

主题

37

回帖

1354

积分

认证会员

积分
1354
QQ
 楼主| 发表于 2010-8-19 17:03:04 | 显示全部楼层
安徽宣城汪氏的家谱

文章

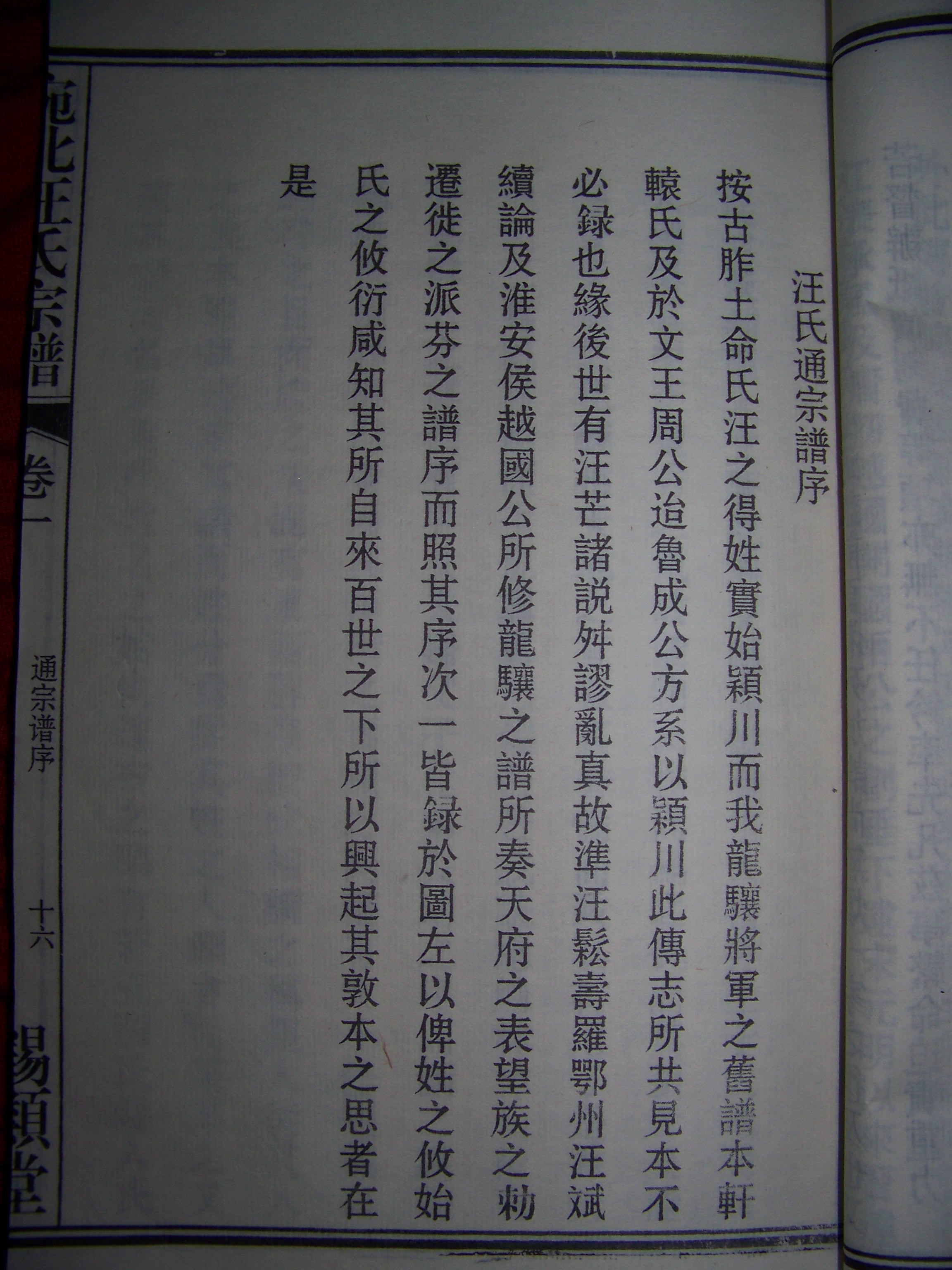
汪氏通宗谱序

汪氏通宗谱序

原姓

原姓

平阳辨

平阳辨

颖川辨

颖川辨

6

主题

37

回帖

1354

积分

认证会员

积分
1354
QQ
 楼主| 发表于 2010-8-19 17:09:37 | 显示全部楼层
安徽宣城汪氏的家谱
100_6614.JPG
100_6615.JPG
100_6616.JPG

6

主题

37

回帖

1354

积分

认证会员

积分
1354
QQ
 楼主| 发表于 2010-8-19 17:13:03 | 显示全部楼层
安徽宣城汪氏的家谱
100_6618.JPG
100_6619.JPG

136

主题

815

回帖

1万

积分

认证会员

积分
16220
发表于 2010-8-20 10:43:12 | 显示全部楼层
越国公生于隋开皇十年正月十七日子时。。。。生年与我谱记载同。寿享60岁,亦同。

7

主题

13

回帖

492

积分

认证会员

积分
492
发表于 2010-10-13 17:10:51 | 显示全部楼层
我是“士”字辈,父亲是“祖”,爷爷是“秉”字辈,请问是从什么地方发脉过来的

364

主题

4334

回帖

14万

积分

天使

齐鲁_达成(来自汪氏发详地一山

积分
144710
QQ
发表于 2010-11-4 09:49:20 | 显示全部楼层
拜读了。

9

主题

238

回帖

5218

积分

风云使者

积分
5218
发表于 2010-11-6 22:13:27 | 显示全部楼层

回 14楼(宣城汪晓青) 的帖子

你们这一支应该是45世俊公后裔,最早(太平天国前)自旌德迁入宣城的溪口(吕辉、狮峰、高峰)、周王(龙潭、扎门)一带。而且老房子都是徽派建筑,口音大多为此地话(与绩溪语相近)。
字辈是:文明能秉祖,士期应时与;大廷惟嘉庆,永世必昌隆。
你如是“士”辈的话,辈份很高。应是汪氏第83代裔孙。呵呵,算起来,比我长了7辈。古话说小房出高辈,你可能是俊公后裔的小房。好象吕辉有你们这一支的老谱。但不知你住哪里?
http://www.iwangs.com/bbs/?a=wangxi 或 http://www.iwangs.com/bbs/?u=1806

9

主题

238

回帖

5218

积分

风云使者

积分
5218
发表于 2010-11-6 22:19:59 | 显示全部楼层

回 16楼(wangxi) 的帖子

“与”字应为“兴”字。更正一下。
http://www.iwangs.com/bbs/?a=wangxi 或 http://www.iwangs.com/bbs/?u=1806

1

主题

3

回帖

144

积分

认证会员

积分
144
QQ
发表于 2011-1-10 20:43:19 | 显示全部楼层
我也是克字辈的我是宁国青龙的!但我知道到我爷爷是政字辈的请问我们是同宗的么?

364

主题

4334

回帖

14万

积分

天使

齐鲁_达成(来自汪氏发详地一山

积分
144710
QQ
发表于 2011-3-3 16:57:28 | 显示全部楼层
        我支系与宣城为近支系,是在"举"字辈分支吧。我们是鸿举公的后裔。
您需要登录后才可以回帖 登录 | 立即注册

本版积分规则

QQ| Archiver|手机版|小黑屋| 汪氏宗亲网

Copyright © 2001-2013 Comsenz Inc.   All Rights Reserved.

Powered by Discuz! X3.5( 皖ICP备2025101776号-1 )

快速回复 返回顶部 返回列表

 34100202000237