查看: 18388|回复: 18

安徽當涂縣汪氏各支派報到

[复制链接]

22

主题

664

回帖

1万

积分

光明使者

找尋高林"汪傳甫&

积分
12011
QQ
发表于 2009-4-9 12:54:34 | 显示全部楼层 |阅读模式
當涂縣大龍鎮南拓村(大汪小汪村)
字輩: 建功立業 繼健修芳
        昌明克振 孝友是邦

與汪立貴本家合影

與汪立貴本家合影

與汪立奎及宗譜合影

與汪立奎及宗譜合影
請安徽高林的本家們與我聯繫13958201231

22

主题

664

回帖

1万

积分

光明使者

找尋高林"汪傳甫&

积分
12011
QQ
 楼主| 发表于 2009-4-9 13:09:10 | 显示全部楼层
黃池鎮中閘村 濡東汪 敦睦堂

字輩: 嗣賢家自振 德茂福斯長
     立志恆維善 真修性益良
     前光宏遠紹 書澤有余芳

汪振武汪德軍父子合影

汪振武汪德軍父子合影
請安徽高林的本家們與我聯繫13958201231

22

主题

664

回帖

1万

积分

光明使者

找尋高林"汪傳甫&

积分
12011
QQ
 楼主| 发表于 2009-4-9 13:18:33 | 显示全部楼层
護河鎮光明村汪家
敦睦堂
字輩:  正世家后代傳先德

右一汪家壽右二汪代敏爺爺(92歲)

右一汪家壽右二汪代敏爺爺(92歲)

宗譜

宗譜

始遷祖

始遷祖
請安徽高林的本家們與我聯繫13958201231

22

主题

664

回帖

1万

积分

光明使者

找尋高林"汪傳甫&

积分
12011
QQ
 楼主| 发表于 2009-4-9 14:09:23 | 显示全部楼层
代林本家:歡迎加入家網
4月7日到光明村汪家拜訪尋根,承蒙族親們熱烈關懷,盛情銘記在心.
感激.........
有機會碰到同族本家,請幫我代尋  "汪傳甫,汪家駒"
先謝謝你,拜託了.
請安徽高林的本家們與我聯繫13958201231

0

主题

18

回帖

290

积分

侠客

积分
290
QQ
发表于 2009-4-30 13:21:27 | 显示全部楼层
呵呵 看到了` 原来传到这了啊``我会帮你察的
汪代林

22

主题

664

回帖

1万

积分

光明使者

找尋高林"汪傳甫&

积分
12011
QQ
 楼主| 发表于 2009-5-21 12:22:15 | 显示全部楼层
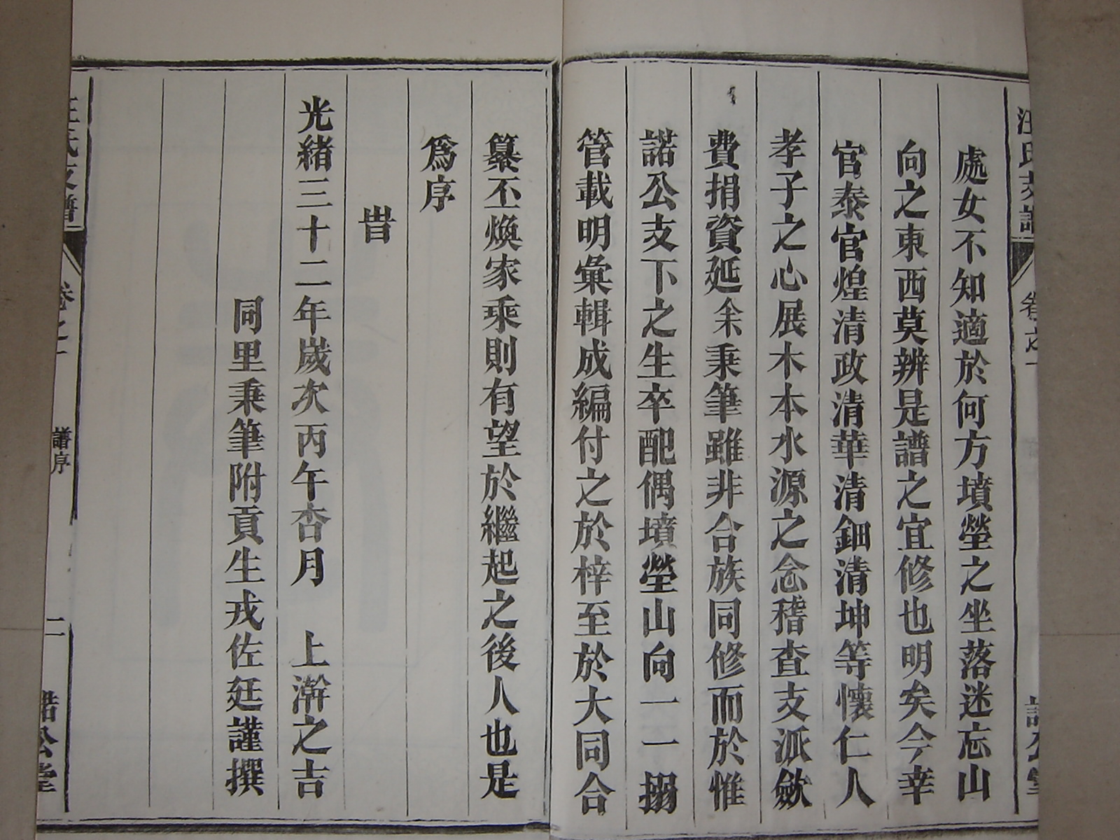
諾公堂宗詞
字輩:長 宏致惟成大 國正天之順 官清民自安

宗祠

宗祠

始遷祖及自輩

始遷祖及自輩
SANY0006.JPG

家乘傳書

家乘傳書
請安徽高林的本家們與我聯繫13958201231

22

主题

664

回帖

1万

积分

光明使者

找尋高林"汪傳甫&

积分
12011
QQ
 楼主| 发表于 2009-5-21 12:29:22 | 显示全部楼层
當涂大龍鄉韓村釜底港汪明亮本家
字輩: 廷世廣明傳承

與明亮本家合影

與明亮本家合影
請安徽高林的本家們與我聯繫13958201231

22

主题

664

回帖

1万

积分

光明使者

找尋高林"汪傳甫&

积分
12011
QQ
 楼主| 发表于 2009-7-4 20:04:09 | 显示全部楼层
汪氏通宗世譜第八卷找到長蕃公譜系
建公派下(第五冊.)
請安徽高林的本家們與我聯繫13958201231

22

主题

664

回帖

1万

积分

光明使者

找尋高林"汪傳甫&

积分
12011
QQ
 楼主| 发表于 2009-7-4 22:46:57 | 显示全部楼层
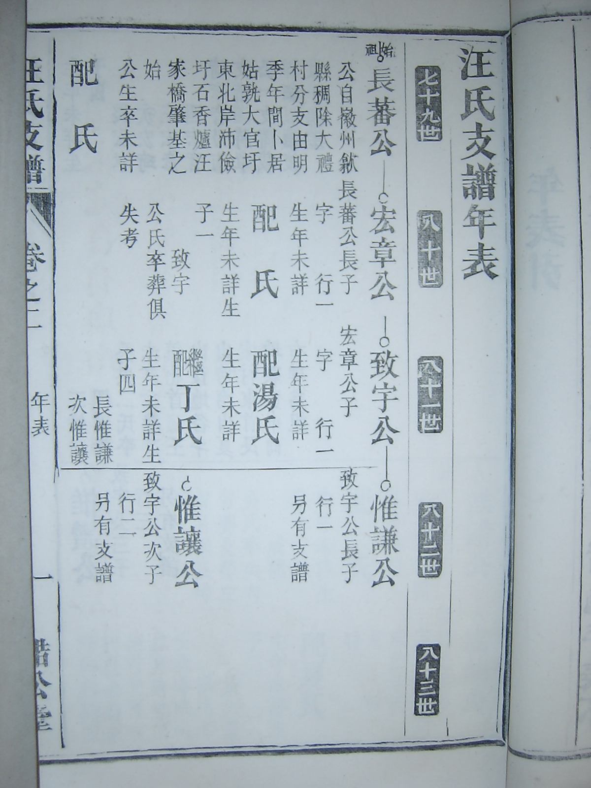
當涂縣大壠汪橋村 諾公堂 始遷祖79世 長蕃公之譜系

68世-79世

68世-79世
六八世大晰.jpg
七九世長蕃公.jpg
請安徽高林的本家們與我聯繫13958201231

22

主题

664

回帖

1万

积分

光明使者

找尋高林"汪傳甫&

积分
12011
QQ
 楼主| 发表于 2009-7-4 22:58:24 | 显示全部楼层
68大作 69言 70應新 71復先 72祖尹 73鑑 74榮壽 75懽童 76龍荫 77社員 78景浩 79長蕃
請安徽高林的本家們與我聯繫13958201231
您需要登录后才可以回帖 登录 | 立即注册

本版积分规则

QQ| Archiver|手机版|小黑屋| 汪氏宗亲网

Copyright © 2001-2013 Comsenz Inc.   All Rights Reserved.

Powered by Discuz! X3.5( 皖ICP备2025101776号-1 )

快速回复 返回顶部 返回列表

 34100202000237