查看: 16306|回复: 6

《南雷汪氏宗族史与行第辈代排列》

[复制链接]

11

主题

166

回帖

1万

积分

认证会员

积分
13782
发表于 2008-1-13 22:29:32 | 显示全部楼层 |阅读模式
2007年8月,我曾到宁波西乡四明山上的大雷村,当地老会计汪能章老先生送我一册《南雷汪氏宗族史与行第辈代排列》,特地上传,以飨各位。 IMG_0037.jpg

11

主题

166

回帖

1万

积分

认证会员

积分
13782
 楼主| 发表于 2008-1-13 22:33:14 | 显示全部楼层
IMG_0043.jpg    IMG_0069.jpg

11

主题

166

回帖

1万

积分

认证会员

积分
13782
 楼主| 发表于 2008-1-13 22:42:10 | 显示全部楼层
这里的“义鸟”应为浙江中部“义乌”之误 IMG_0093.jpg

11

主题

166

回帖

1万

积分

认证会员

积分
13782
 楼主| 发表于 2008-1-13 22:48:06 | 显示全部楼层
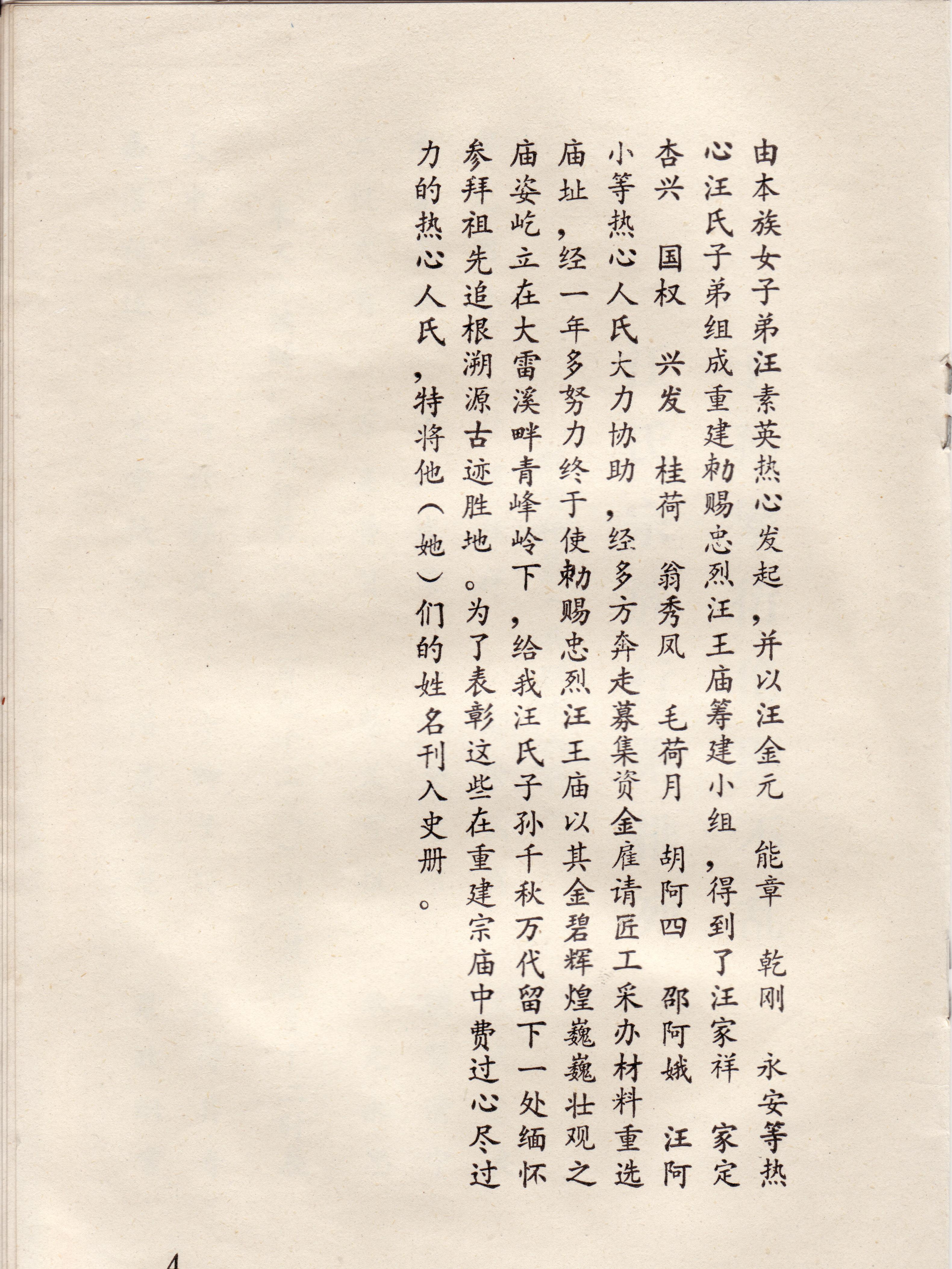
我这次寻根之旅,由汪素英女士的儿子牵线搭桥,不幸的是汪素英女士于2007年10月去世,在此表示哀悼 IMG_0096.JPG

184

主题

1854

回帖

4万

积分

新手上路

我给自己取字慈言,号白石山人。

积分
42615
QQ
发表于 2008-1-13 22:51:50 | 显示全部楼层
没有了啊?继续发啊。期待中

11

主题

166

回帖

1万

积分

认证会员

积分
13782
 楼主| 发表于 2008-1-13 22:56:54 | 显示全部楼层
IMG_0105.jpg IMG_0108.JPG

11

主题

166

回帖

1万

积分

认证会员

积分
13782
 楼主| 发表于 2008-1-13 23:09:26 | 显示全部楼层
根据http://www.iwangshi.com/bbs/read ... ;toread=&page=6所列,宁波汪氏行第辈代始祖是65世的汪大猷,那么,忠字辈即为85世,政字辈为94世。据说汪忠庆老人仍健在,这个辈份应该算高了。


附:
爽——濆——敬逢——延之——惟谨公世系
六一世  惟谨  迁鄞县。生子二  元吉  元卿  

六二世  元吉  鄞县县吏。生子四  演  况  洙  滋  (或说生洙、滋、

              永济、永渐)

六三世   洙   字文敏。正奉大夫,妣陈氏,生子二  思温  思齐

滋   另提

六四世  思温  (1077—1157)字汝直,谥忠靖。徽宗政和二年(1112)进士,授登封县尉,迁雄州教授,宣和二年知余姚县,高宗时知衢州、湖州,入为太府少卿,绍兴六年知临安府,左朝议大夫,直显谟阁。绍兴二十七年卒。生子二  大猷  大定  长女适楼璩。

        思齐  字文恪。

六五世  大猷  绍兴七年(1137)以父恩补官将士郎,授江山县尉,八年后中进士,任吏部郎官、刑部侍郎,敷文阁直学士,江西安抚使等。妣楼氏。女适楼氏。这个支脉中出了清代学者汪辉祖。
您需要登录后才可以回帖 登录 | 立即注册

本版积分规则

QQ| Archiver|手机版|小黑屋| 汪氏宗亲网

Copyright © 2001-2013 Comsenz Inc.   All Rights Reserved.

Powered by Discuz! X3.5( 皖ICP备2025101776号-1 )

快速回复 返回顶部 返回列表

 34100202000237