楼主: ahjzww

鄂豫皖三省汪氏越国堂金寨周边同宗谱世系图

[复制链接]

12

主题

118

回帖

1万

积分

光明使者

安徽金寨汪

积分
11968
QQ
 楼主| 发表于 2009-2-16 21:22:42 | 显示全部楼层
114-117

114

114

115

115

116

116

117

117

12

主题

118

回帖

1万

积分

光明使者

安徽金寨汪

积分
11968
QQ
 楼主| 发表于 2009-2-16 21:23:28 | 显示全部楼层
118-120

118

118

119

119

120

120

619

主题

5182

回帖

11万

积分

超级版主

积分
113127
发表于 2009-2-17 11:39:46 | 显示全部楼层
安徽金寨汪本家辛苦了,请继续。。。。
夕阳无限好,七十古来稀

12

主题

118

回帖

1万

积分

光明使者

安徽金寨汪

积分
11968
QQ
 楼主| 发表于 2009-2-18 21:52:42 | 显示全部楼层
121-124

121

121

122

122

123

123

123

123

12

主题

118

回帖

1万

积分

光明使者

安徽金寨汪

积分
11968
QQ
 楼主| 发表于 2009-2-18 21:53:43 | 显示全部楼层
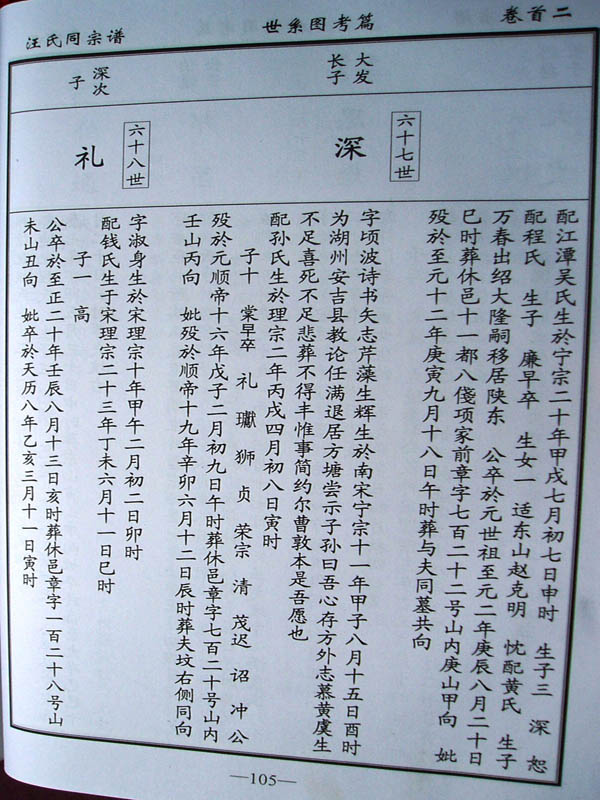
125-128

125

125

126

126

127

127

128

128

12

主题

118

回帖

1万

积分

光明使者

安徽金寨汪

积分
11968
QQ
 楼主| 发表于 2009-2-18 21:54:52 | 显示全部楼层
129-132

129

129

130

130

131

131

132

132

12

主题

118

回帖

1万

积分

光明使者

安徽金寨汪

积分
11968
QQ
 楼主| 发表于 2009-2-18 21:56:02 | 显示全部楼层
133-136

133

133

134

134

135

135

136

136

166

主题

4153

回帖

10万

积分

天使

九十三世金寨之汪

积分
104337
QQ
发表于 2009-2-20 00:39:48 | 显示全部楼层

唐越国公像

唐越国公像
  

乾隆四十年在休宁修得老谱铁佛公像

乾隆四十年在休宁修得老谱铁佛公像
  

汪家大湾乾隆十六年修汪氏古祠33间

汪家大湾乾隆十六年修汪氏古祠33间
  

古碑黄畈汪氏宗祠

古碑黄畈汪氏宗祠
谢谢汪炜老师把金寨同宗谱发到家网上来,以满足汪氏宗亲们更了解金寨越国堂老人们创修之艰辛,补充家网上有些查不到资料,和胖子道生共同做好六安汪氏宗亲联谊会,使网页更加丰富多彩,望舒城、霍山、霍邱、寿县、金寨、五县及三区、裕安区、金安区、叶集改革试验区、六安市本家们多上网,提供汪家资料和故事让所有汪姓人家都知道来自何地、世派世系为打造一个新六安汪氏宗亲联谊会而努力!联系电话:05647351548、13965433585道生胖子,汪炜电话13865753319请联系我们,愿为各位汪氏宗亲们提供方便,有空请到金寨来做客!
金寨汪讳铁佛公后裔汪氏93世

619

主题

5182

回帖

11万

积分

超级版主

积分
113127
发表于 2009-2-20 14:08:50 | 显示全部楼层
汪炜老师辛苦了,请继续。。。
夕阳无限好,七十古来稀

5

主题

222

回帖

3411

积分

管理员

积分
3411
发表于 2009-2-21 18:49:28 | 显示全部楼层
资料很珍贵,一定要保存好。希望金寨汪氏宗亲联谊连心,为天下汪氏作表率。
您需要登录后才可以回帖 登录 | 立即注册

本版积分规则

QQ| Archiver|手机版|小黑屋| 汪氏宗亲网

Copyright © 2001-2013 Comsenz Inc.   All Rights Reserved.

Powered by Discuz! X3.5( 皖ICP备2025101776号-1 )

快速回复 返回顶部 返回列表

 34100202000237