查看: 16875|回复: 20

有和我同支的汪姓吗?

[复制链接]

12

主题

88

回帖

2089

积分

新手上路

一切皆流,无物永驻。

积分
2089
QQ
发表于 2007-4-11 16:49:52 | 显示全部楼层 |阅读模式
歙州长乐派支下之屯阳派80世起:


优尚来中,孔孟经德;秉哲笃实,辉光宣慈。


恵和广博,易良正谊;明道元吉,康强永言。


孝思长发,其祥…



我是“哲”字辈

12

主题

88

回帖

2089

积分

新手上路

一切皆流,无物永驻。

积分
2089
QQ
 楼主| 发表于 2007-4-11 16:50:18 | 显示全部楼层
欢迎+QQ453116好友

902

主题

4154

回帖

8万

积分

管理员

积分
86429
QQ
发表于 2007-4-11 18:09:45 | 显示全部楼层
[s:1] 欢迎本家来到家网!!
河南-汪聚贵

12

主题

88

回帖

2089

积分

新手上路

一切皆流,无物永驻。

积分
2089
QQ
 楼主| 发表于 2007-4-12 07:54:32 | 显示全部楼层
感谢啊,这个论坛太好了,继续寻找~~~~~~~~~~~~

12

主题

88

回帖

2089

积分

新手上路

一切皆流,无物永驻。

积分
2089
QQ
 楼主| 发表于 2007-4-13 10:15:50 | 显示全部楼层
GO  ON

12

主题

88

回帖

2089

积分

新手上路

一切皆流,无物永驻。

积分
2089
QQ
 楼主| 发表于 2007-4-16 09:16:32 | 显示全部楼层
UP 文字少了还不行。。。。。继续顶

251

主题

3515

回帖

114751万

积分

超级版主

探究汪氏源流,学习汪氏文化。

积分
1147514344
发表于 2007-4-16 10:13:38 | 显示全部楼层
留心家网,你会找到同宗的。
七律·喜看女孙 屯蒙辑别步尘阶,双眸晶明神度谐。
一气混元观世界,万般依赖就娘怀。
饥啼不解人间苦,梦笑惟呈弱体乖。
年老莫愁无乐趣,含饴笑弄女孙崽。

146

主题

3851

回帖

8万

积分

天使

你我是音符,相逢一首歌

积分
85373
发表于 2007-4-16 12:45:24 | 显示全部楼层
从本家提供寻找的资料看,只能找到同支系同迁始祖的100多年的族人,要更大范围寻找需要提供更多资料吧

38

主题

598

回帖

1万

积分

管理员

积分
19574
发表于 2007-4-16 13:08:43 | 显示全部楼层
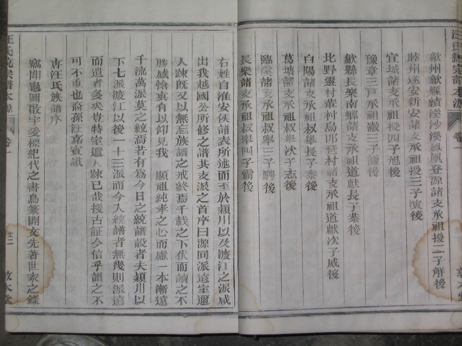
你们是不是记渡江以后支派的“长乐诸支承祖叔举四子霸后”或者“长乐南乡诸支承祖道献长子恭后”?
5 022.jpg

146

主题

3851

回帖

8万

积分

天使

你我是音符,相逢一首歌

积分
85373
发表于 2007-4-16 13:17:36 | 显示全部楼层
长乐诸支为霸公后裔,歙县长乐南乡承道献公长子恭公之后,敬请解读 [s:1]
您需要登录后才可以回帖 登录 | 立即注册

本版积分规则

QQ| Archiver|手机版|小黑屋| 汪氏宗亲网

Copyright © 2001-2013 Comsenz Inc.   All Rights Reserved.

Powered by Discuz! X3.5( 皖ICP备2025101776号-1 )

快速回复 返回顶部 返回列表

 34100202000237